粒子模拟求解器支持Furman、Vaughan和自定义导入3种二次电子发射模型的计算,输出粒子数目随时间的演化曲线,帮助工程师分析微放电阈值。其使用的粒子合并技术,在保持粒子空间分布不变的前提下,通过有效减少模拟粒子数目显著提高了计算效率,进而使用户研究分析微放电稳态后的物理现象成为了可能。
阻抗变换器

仿真模型 SEY曲线

1700W下反射信号频谱 1800W下反射信号频谱

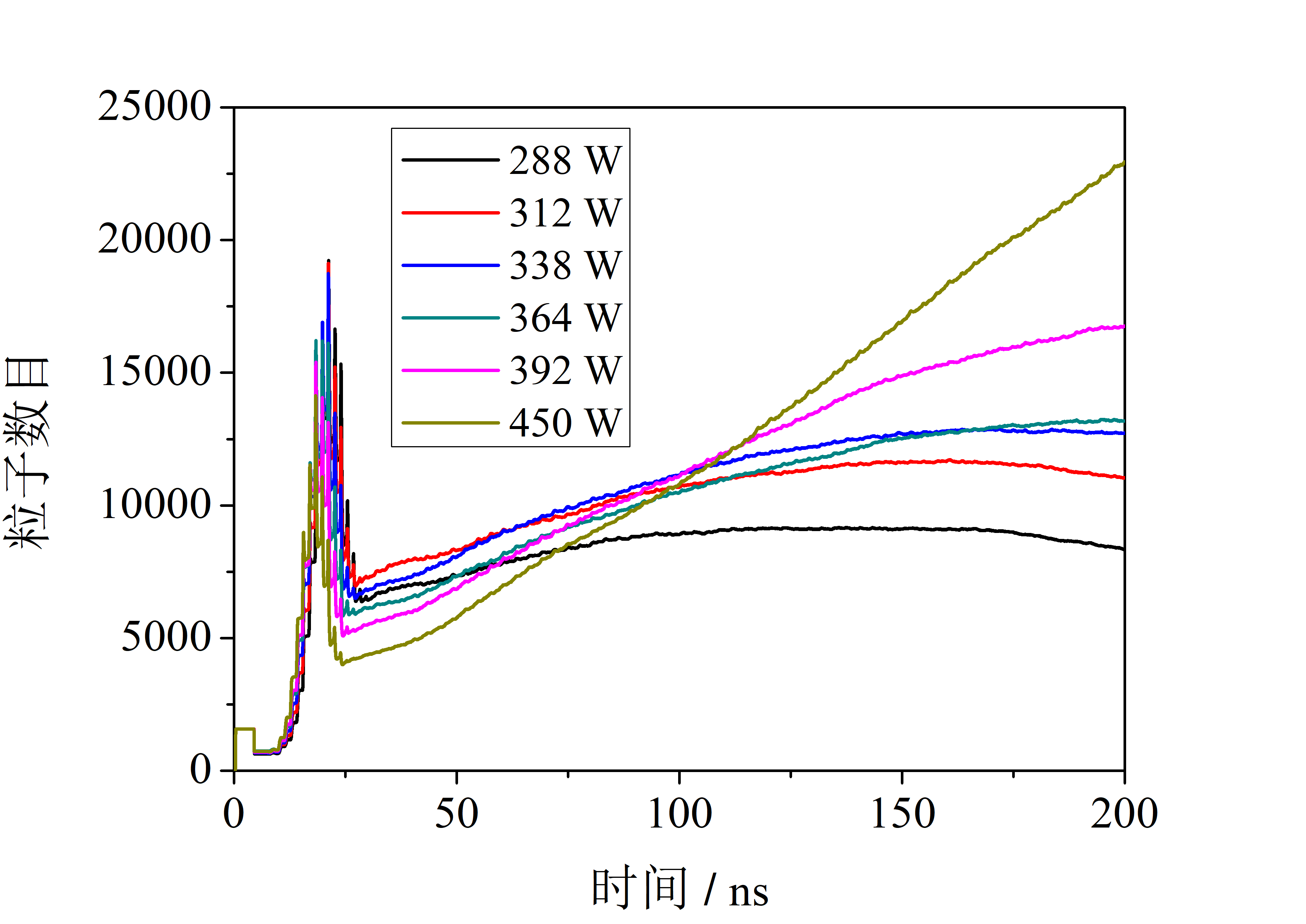
各输入功率下粒子数目随时间变换
脊波导滤波器

仿真模型 三维粒子分布

二次电子数目随时间的变化
UHF波段微波部件

仿真模型 三维粒子分布

二次电子数目随时间的变化
